Residual Income-Modell: Substanz trifft Ertrag

4
 
Minuten Lesezeit
429
 
Ansichten
Beliebte Beiträge
Beitragstitel
A deep-dive valuation report using multiple industry-recognized methodologies for a precise and reliable business valuation.
Order Expose
Beitragstitel
A deep-dive valuation report using multiple industry-recognized methodologies for a precise and reliable business valuation.
Order Expose
Beitragstitel
A deep-dive valuation report using multiple industry-recognized methodologies for a precise and reliable business valuation.
Order Expose

Der Ertragswert ist stark von Annahmen zur Zukunft abhängig, der Substanzwert wiederum blendet die Ertragskraft weitgehend aus. Eine Kombination beider Perspektiven kann helfen, die Schwächen der Einzelmethoden abzufedern. Das Residual Income-Modell erfüllt diese Anforderung und basiert auf folgender Logik:

Einleitung

Wer ein Unternehmen erwirbt, dem gehört dessen Substanz. Der Wert dieser Substanz bildet deshalb die Basis für die Kaufpreisbereitschaft, wobei nur jene Substanz berücksichtigt werden darf, die tatsächlich werthaltig ist. Darüber hinaus erwartet man als Käuferzukünftige Erträge, für die man bereit ist, zusätzlich zu bezahlen. Gleichzeitig ist aber zu berücksichtigen, dass das für die Substanz eingesetzte Kapital gebunden ist und anderweitig eine marktübliche Verzinsung erzielen könnte. Damit die Investition wirtschaftlich sinnvoll ist, müssen die erwarteten Gewinne diese Opportunitätskosten übersteigen. Genau diese Differenzbezeichnet man als Residualeinkommen. Schliesslich ist man somit bereit, den Substanzwert und den Barwert des künftigen Residualeinkommens zu vergüten, was den Unternehmenswert ergibt.

Beispiel

Folgendes Beispiel: Ein Unternehmen besitzt eine betriebsnotwendige Anlage mit einem realistischen Marktwert von CHF 10 Mio. Gleichzeitig besteht ein verzinsliches Darlehen in der Höhe von CHF 7 Mio. Der verbleibende Substanzwert beträgt somit CHF 3 Mio. Dies entspricht dem ökonomischen Eigenkapital, das ein Käufer aufbringen muss, um das Unternehmen zu übernehmen. Die konkrete Mischung aus Eigen- und Fremdkapital ist eine separate Finanzierungsfrage.

Wer diesen Betrag investiert, verzichtet auf eine alternative Anlagemöglichkeit. Wird beispielsweise eine Eigenkapitalrendite von 15% angenommen, müsste das Unternehmen jährlich mindestens CHF 450'000 erwirtschaften, damit sich die Investition lohnt. Der effektive Reingewinn beträgt jedoch CHF 1 Mio. Das bedeutet, der Gewinn liegt CHF 550'000 über der erwarteten Mindestverzinsung. Dieser Betrag entspricht dem Residualeinkommen, für das zusätzliche Kaufbereitschaft besteht.

Rl_t = Residualeinkommen zur Periode t; NI_t= Reingewinn zur Periode t; r = Eigenkapitalrendite; B_{t-1}  = Substanzwert zur Periode t-1

Wird für die Bewertung deskünftigen Residualeinkommens ein einfaches Einphasenmodell angewendet, wird an genommen, dass das Residualeinkommen dauerhaft konstant bleibt. Der Wert des Residualeinkommens ist in diesem Fall vergleichbar mit dem Residualwert im DCF-Modell. Wichtig ist zu beachten, dass bei der Berechnung aber nicht der WACC angewandt wird, sondern ausschliesslich die erwartete Eigenkapitalrendite.

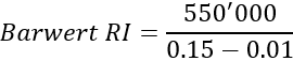
Nehmen wir an, das Residualeinkommen beträgt CHF 550’000 pro Jahr und wächst künftig mit einer Rate von einem Prozent und die Eigenkapitalkosten liegen bei 15%. In diesem Fall ergibt sich der Barwert des Residualeinkommens wie folgt:

Wird dieser Betrag zum Substanzwert von CHF 3 Mio. addiert, ergibt sich ein Eigenkapitalwert von rund CHF 6.93 Mio. Ein wesentlicher Vorteil ist, dass man im Gegensatz zu den ertragsbasierten Methoden keine Equity Bridge bilden muss.

B_0 = Substanzwert; RI = Residualeinkommen; r = Eigenkapitalrendite; g = Wachstumsrate

Alternativ kann man ähnlich wie beim DCF-Modell, eine mehrstufige Betrachtung wählen. Dabei werden die Residualeinkommen für eine Planungsperiode explizit modelliert und danach mit einem Residualwert ergänzt. Voraussetzung dafür ist eine Planerfolgsrechnung sowie eine Planbilanz, auf deren Basis das jeweils gebundene Eigenkapitalbestimmt werden kann. Auch in diesem Modell werden die Residualeinkommen mit der Eigenkapitalrendite abgezinst.

Gehen wir davon aus, dass der Substanzwert konstant bei CHF 3 Millionen bleibt. Im Jahr 1 erzielt das Unternehmen einen Reingewinn von CHF 1 Mio., im Jahr 2 CHF 1.2 Mio., und ab Jahr 3 stabilisiert sich der Gewinn wieder bei CHF 1 Mio. Die erwartete Eigenkapitalrendite liegt weiterhin bei 15%. Das Residualeinkommen ergibt sich in jedem Jahr als Differenz zwischen dem Reingewinn und der Mindestverzinsung von 15% auf die CHF 3 Mio. Substanzwert, also CHF 450’000. Ab Jahr 3 wächst das Residualeinkommen mit einer Rate von einem Prozent jährlich.

Für die drei Phasen ergibt sich:

  • Jahr 1: RI = 1'000'000 – 450'000 = 550'000
  • Jahr 2: RI = 1'200'000 – 450'000 = 750'000
  • ab Jahr 3: RI = (1'000'000 – 450'000) * 1.01 = 555'500

Diese Residualeinkommen werden nun abgezinst und wie folgt berechnet:

Der Wert des Eigenkapitals ergibt sich aus dem Substanzwert, dem abgezinsten Residualeinkommen der Planperiode und dem Residualwert.

Fazit

Das Residual Income-Modell ist besonders nützlich bei Unternehmen mit hoher Kapitalbindung und stabiler Bilanz. Geradewenn Cashflows schwer zu schätzen sind oder der Substanzwert eine zentrale Rolle spielt, zeigt dieses Modell seine Stärke.

Ein Vorteil liegt darin, dass das Modell klar zwischen der Substanz, die dem Käufer beim Kauf bereits gehört, und den künftigen Erträgen unterscheidet. Im Unterschied zur DCF-Methode hängt die Bewertung weniger stark von langfristigen Annahmen ab und der Residualwert fällt weniger ins Gewicht. Das macht die Bewertung stabiler, transparenter und leichter nachvollziehbar.

Wie alle Bewertungsmethoden ist auch dieser Ansatz abhängig von Annahmen. Beispielsweise ist zu bestimmen, welche Vermögenswerte und Verbindlichkeiten in der Bilanz werthaltig sind, was Spielraum für Interpretation lässt. Zudem ist die Eigenkapitalrendite ein subjektives Mass. Ein Methodenmix zur Plausibilisierung ist daher empfehlenswert. Da das Residual Income-Modell komplexer ist als andere Bewertungsansätze, wird es in der Praxis seltener angewendet. Durch die Verbindung von Substanz und Ertrag sowie eine nachvollziehbare Grundlogik liefertes jedoch einen realitätsnahen Unternehmenswert.

Beliebte Beiträge
Unternehmenswert berechnen
Eine objektive Unternehmensbewertung ist ein wichtiger Schritt im Vorfeld des Verkaufs. Sie kann als Argument bei den späteren Kaufpreisverhandlungen genutzt werden und deckt gleichzeitig allfällige Schwächen auf, die vor dem Verkauf noch behoben werden können.
Details
Kapitalisierungszinssatz bei der Unternehmensbewertung
Oft wird bei einer Firmenbewertung ein Kapitalisierungszinssatz miteinbezogen. Doch wie wird er berechnet und noch wichtiger: Was sagt dieser Wert überhaupt aus?
Details
Steuern beim Unternehmensverkauf
Erfahrungsgemäss kennen die wenigsten Unternehmer die Steuerfolgen eines Firmenverkaufs. Hier erhalten Sie eine umfassende Übersicht.
Details